在线客服 
销售询价点击这里给我发消息

跟单及发票查询点击这里给我发消息

供应商联系点击这里给我发消息

总经理点击这里给我发消息

  产品搜索
输入产品名称或CAS号
 产品类别
  缩合剂
  医药中间体
  氨基酸类
  碳水化合物(糖类)
  原料药
  电子化学品
  杂环化合物
 推荐产品
  产品展示

 
医药中间体
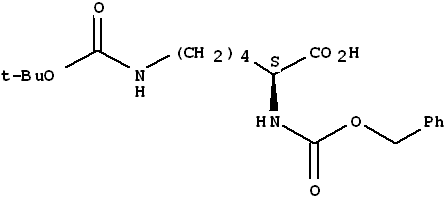
产品编号:   Rovathin1535
产品名称:   Z-Lys(Boc)-OH
别  名:  
CAS:   2389-60-8
含  量:   97%
分子式:   C19H28N2O6
包  装:  
结构式:  
用  途:  

订购该产品
产品名称:
要求
*
姓  名: *
公  司:
地  址:
电  话:
传  真:
电子邮件: *
验证码: 点击切换
苏州诺行贸易有限公司 版权所有 © 2007 技术支持 华夏化工网